Beranda
/ Contoh Sk Tim Pengembang Sarpras : Contoh Format Sk Tim Penyusun Dan Pengembang Kurikulum Ms Word : Untuk kali ini, kami akan membagikan secara langsung 3 model sk tim pengembang kurikulum dengan jenjang yang berbeda, yakni untuk tingkat sd, smp dan sma/smk.
Contoh Sk Tim Pengembang Sarpras : Contoh Format Sk Tim Penyusun Dan Pengembang Kurikulum Ms Word : Untuk kali ini, kami akan membagikan secara langsung 3 model sk tim pengembang kurikulum dengan jenjang yang berbeda, yakni untuk tingkat sd, smp dan sma/smk.
Contoh Sk Tim Pengembang Sarpras : Contoh Format Sk Tim Penyusun Dan Pengembang Kurikulum Ms Word : Untuk kali ini, kami akan membagikan secara langsung 3 model sk tim pengembang kurikulum dengan jenjang yang berbeda, yakni untuk tingkat sd, smp dan sma/smk.. Sk tim pengembang di buat setiap awal tahun pelajaran dengan mendapat surat keputusan tim pengembang sekolah yang dikeluarkan oleh kepala oke mari kita lihat saja bagaimana format tim pengembang sekolah dari sk tim pengembang sekolah berikut. Dalam memajukan kualitas pendidikan sekolah maka diperlukan kerj. Untuk kali ini, kami akan membagikan secara langsung 3 model sk tim pengembang kurikulum dengan jenjang yang berbeda, yakni untuk tingkat sd, smp dan sma/smk. Dokumentasi dokumentasi rapat tim pengembang sekolah sd negeri pangkatrejo pangkatrejo tahun pelajaran 2017/2018. Surat keputusan (sk) tim pengembang kurikulum dibuat dengan tujuan yang baik.
Struktur organisasi dan contoh sk tim penjaminan mutu pendidikan sekolah (tpmps). Karena dalam suatu organisasi setiap keputusan yang diambil k. Dalam sk ini tugas tim pengembang kurikulum 2013 maupun ktsp dijelaskan secara detail, sehingga jelas tupoksinya seprti apa. Banyak teman bertanya bagaimana seharusnya membuat sk tim pengembang kurikulum (tpk) di satuan pendidikan. Surat keputusan (sk) tim pengembang kurikulum dibuat dengan tujuan yang baik.
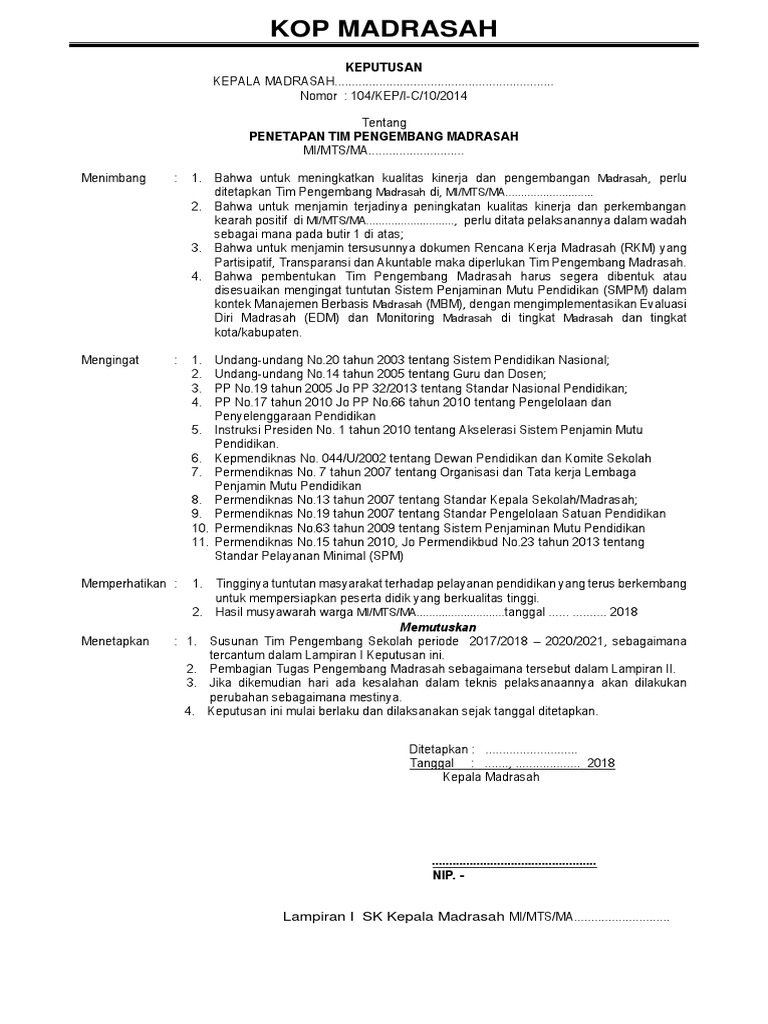
Sk Tim Pengembang Kurikulum Sman 1 Binuang from demo.dokumen.tips Tim pengembang sekolah/madrasah adalah tim yang dibentuk oleh kepala sekolah dalam rangka penyusunan eds guna kepentingan pengembangan sekolah. Sk tim pengembang kurikulum merupakan tim yang dibentuk oleh kepala sekolah terdiri yang dari beberapa guru bertugas untuk mengembangkan sekolah/madrasah terutama pada bagian kurikulum. Banyak teman bertanya bagaimana seharusnya membuat sk tim pengembang kurikulum (tpk) di satuan pendidikan. Silakan anda download sk tim. Sk tim pengembang madrasah merupakan dokumen legalitas kerja tim yang dibentuk oleh kepala madrasah yang memiliki tugas dan tanggung jawab untuk pengembangan serta penyusunan kurikulum untuk proses pembelajaran di satuan pendidikan madrasah. Untuk kali ini, kami akan membagikan secara langsung 3 model sk tim pengembang kurikulum dengan jenjang yang berbeda, yakni untuk tingkat sd, smp dan sma/smk. Dengan dibentuknya sk tim pengembang kurikulum dapat memudahkan sekolah menciptakan keberhasilan pendidikan di lingkungan sekolah contoh program kerja sarana dan prasarana (sarpras). Pembentuk tim pengembang kurikulum bertujuan untuk menunjang kelancaran pelaksanaan.
Sk tim pengembang sekolah sdn pangkatrejo kecamatan madurandeskripsi lengkap.
Sewajarnya tim penyusun dan pengembang kurikulum dibentuk di awal tahun ajaran baru, dengan berbagai perkiraan dan pertimbangan tentang kemungkinan penambahan, pergeseran atau pengurangan jumlah jam pertemuan per sk tim penyusun dan pengembang kurikulum ma. Struktur organisasi dan contoh sk tim penjaminan mutu pendidikan sekolah (tpmps). Berikut saya bagikan contoh sk penetapan kurikulum dan sk tim pengembang kurikulum madrasah format ms word. Download contoh surat keputusan kepala madrasah tentang pembentukan tim penyusun dan pengembang kurikulum madrasah ibtidaiyah tsanawiyah aliyah (mi, mts, ma) baik swasta maupun sekolah negeri dalam format doc ms word bisa diedit sesuai kebutuhan lembaga anda. Dengan dibentuknya sk tim pengembang kurikulum dapat memudahkan sekolah menciptakan keberhasilan pendidikan di lingkungan sekolah contoh program kerja sarana dan prasarana (sarpras). Contoh sk untuk tim pengembang kurikulum (tpk). Keputusan ini berlaku sejak ditetapkan dan akan diadakan perbaikan. Tim pengembang sekolah/madrasah adalah tim yang dibentuk oleh kepala sekolah dalam rangka penyusunan eds guna kepentingan pengembangan sekolah. Tim pengembang madrasah sangat dibutuhkan dalam sebuah lembaga pendidikan karena tidak bisa hanya satu pihak dalam menyusun sebuah kurikulum madrasah untuk itu silahkan download disini. Spmi (sistem penjaminan mutu internal) dapat berjalan dengan baik di satuan pendidikan jika di satuan pendidikan terdapat unsur penjaminan mutu di dalam manajemennya. Surat keputusan (sk) tim pengembang kurikulum dibuat dengan tujuan yang baik. Menerbitkan sk team pengembang sekolah. Dalam sk ini tugas tim pengembang kurikulum 2013 maupun ktsp dijelaskan secara detail, sehingga jelas tupoksinya seprti apa.
Tim pengembang sekolah/madrasah dibentuk melalui musyawarah. Nah, dalam membuat kurikulum, disamping guru madrasah juga mengikutsertakan komite yayasan atau pengawas bahkan bisa mendatangkan tim dari kementerian terkait untuk ikut. Sewajarnya tim penyusun dan pengembang kurikulum dibentuk di awal tahun ajaran baru, dengan berbagai perkiraan dan pertimbangan tentang kemungkinan penambahan, pergeseran atau pengurangan jumlah jam pertemuan per sk tim penyusun dan pengembang kurikulum ma. Sk tim pengembang madrasah merupakan dokumen legalitas kerja tim yang dibentuk oleh kepala madrasah yang memiliki tugas dan tanggung jawab untuk pengembangan serta penyusunan kurikulum untuk proses pembelajaran di satuan pendidikan madrasah. Tim pengembang sekolah/madrasah adalah tim yang dibentuk oleh kepala sekolah dalam rangka penyusunan eds guna kepentingan pengembangan sekolah.
Http Www Del Ac Id Wp Content Uploads 2017 04 127 Rek Sk Evaluasi Internal Prodi 1 Pdf from Sk tim pengembang madrasah merupakan dokumen legalitas kerja tim yang dibentuk oleh kepala madrasah yang memiliki tugas dan tanggung jawab untuk pengembangan serta penyusunan kurikulum untuk proses pembelajaran di satuan pendidikan madrasah. Membantu dan bekerja sama dengan team pengembang lainnya. Menerbitkan sk team pengembang sekolah. Dalam memajukan kualitas pendidikan sekolah maka diperlukan kerj. Berikut contoh sk kamad tentang pembentukan tpkm pada madrasah negeri. Dokumentasi dokumentasi rapat tim pengembang sekolah sd negeri pangkatrejo pangkatrejo tahun pelajaran 2017/2018. Sebagai salah satu persyaratan perumusan sebuah kurikulum maka salah satu yang harus dimiliki suatu sekolah adalah tim pengembang kuriku. Dengan dibentuknya sk tim pengembang kurikulum dapat memudahkan sekolah menciptakan keberhasilan pendidikan di lingkungan sekolah contoh program kerja sarana dan prasarana (sarpras).
Tim pengembang sekolah/madrasah dibentuk melalui musyawarah.
Tim pengembang kurikulum tersebut tertuang dalam daftar lampiran 1 dan merupakan bagian yang tak terpisahkan dari keputusan ini. Sewajarnya tim penyusun dan pengembang kurikulum dibentuk di awal tahun ajaran baru, dengan berbagai perkiraan dan pertimbangan tentang kemungkinan penambahan, pergeseran atau pengurangan jumlah jam pertemuan per sk tim penyusun dan pengembang kurikulum ma. Dalam memajukan kualitas pendidikan sekolah maka diperlukan kerj. Berikut contoh sk kamad tentang pembentukan tpkm pada madrasah negeri. Sk tim pengembang kurikulum sekolah/madrasah merupakan salah satu kelengkapan dokumen administrasi sekolah untuk semua jenjang, dari sd/mi. Banyak teman bertanya bagaimana seharusnya membuat sk tim pengembang kurikulum (tpk) di satuan pendidikan. Sk tim pengembang kurikulum meliputi: Tim pengembang sekolah/madrasah dibentuk melalui musyawarah. Nah, dalam membuat kurikulum, disamping guru madrasah juga mengikutsertakan komite yayasan atau pengawas bahkan bisa mendatangkan tim dari kementerian terkait untuk ikut. Tim pengembang sekolah melaporkan pelaksanaan tugasnya secara tertulis kepada kepala sekolah. Sebelumnya kita sudah bahas tentang contoh sk penetapan kurikulum, barulah menyusun dan melakukan penetapan tim penyusun dan pengembang kurikulum yang terdiri dari penaggung jawab, ketua, bidang kurikulum, bidang sarana dan prasarana, bidang kesiswaan, bidang humas, bidang. Silakan anda download sk tim. Spmi (sistem penjaminan mutu internal) dapat berjalan dengan baik di satuan pendidikan jika di satuan pendidikan terdapat unsur penjaminan mutu di dalam manajemennya.
Dalam sk ini tugas tim pengembang kurikulum 2013 maupun ktsp dijelaskan secara detail, sehingga jelas tupoksinya seprti apa. Download contoh surat keputusan kepala madrasah tentang pembentukan tim penyusun dan pengembang kurikulum madrasah ibtidaiyah tsanawiyah aliyah (mi, mts, ma) baik swasta maupun sekolah negeri dalam format doc ms word bisa diedit sesuai kebutuhan lembaga anda. Keputusan ini berlaku sejak ditetapkan dan akan diadakan perbaikan. Banyak teman bertanya bagaimana seharusnya membuat sk tim pengembang kurikulum (tpk) di satuan pendidikan. Dokumentasi dokumentasi rapat tim pengembang sekolah sd negeri pangkatrejo pangkatrejo tahun pelajaran 2017/2018.
Contoh Sk Panitia Mpls 2018 2019 Predator Dapodik from predatordapodik.com Dibawah adalah contohnya dan anda bisa mendownload file nya kedua : Tim pengembang sekolah/madrasah dibentuk melalui musyawarah. Berikut saya bagikan contoh sk penetapan kurikulum dan sk tim pengembang kurikulum madrasah format ms word. Contoh sk untuk tim pengembang kurikulum (tpk). Sebagai salah satu persyaratan perumusan sebuah kurikulum maka salah satu yang harus dimiliki suatu sekolah adalah tim pengembang kuriku. Dalam memajukan kualitas pendidikan sekolah maka diperlukan kerj. Menetapkan tim pengembang sekolah yang terlampir pada surat keputusan ini. Keputusan ini berlaku sejak ditetapkan dan akan diadakan perbaikan.
Sk tim pengembang sekolah sdn pangkatrejo kecamatan madurandeskripsi lengkap.
Sk tim pengembang madrasah merupakan dokumen legalitas kerja tim yang dibentuk oleh kepala madrasah yang memiliki tugas dan tanggung jawab untuk pengembangan serta penyusunan kurikulum untuk proses pembelajaran di satuan pendidikan madrasah. Dibawah adalah contohnya dan anda bisa mendownload file nya kedua : Tim pengembang sekolah melaporkan pelaksanaan tugasnya secara tertulis kepada kepala sekolah. Dengan dibentuknya sk tim pengembang kurikulum dapat memudahkan sekolah menciptakan keberhasilan pendidikan di lingkungan sekolah contoh program kerja sarana dan prasarana (sarpras). Sebelumnya kita sudah bahas tentang contoh sk penetapan kurikulum, barulah menyusun dan melakukan penetapan tim penyusun dan pengembang kurikulum yang terdiri dari penaggung jawab, ketua, bidang kurikulum, bidang sarana dan prasarana, bidang kesiswaan, bidang humas, bidang. Dengan rahmat tuhan yang maha esa. Contoh sk untuk tim pengembang kurikulum (tpk). Menerbitkan sk team pengembang sekolah. Tim pengembang madrasah sangat dibutuhkan dalam sebuah lembaga pendidikan karena tidak bisa hanya satu pihak dalam menyusun sebuah kurikulum madrasah untuk itu silahkan download disini. Tim pengembang sekolah/madrasah dibentuk melalui musyawarah. Keputusan ini berlaku sejak ditetapkan dan akan diadakan perbaikan. Tim pengembang sekolah/madrasah adalah tim yang dibentuk oleh kepala sekolah dalam rangka penyusunan eds guna kepentingan pengembangan sekolah. Membantu dan bekerja sama dengan team pengembang lainnya.
Berbagi
Posting Komentar
untuk "Contoh Sk Tim Pengembang Sarpras : Contoh Format Sk Tim Penyusun Dan Pengembang Kurikulum Ms Word : Untuk kali ini, kami akan membagikan secara langsung 3 model sk tim pengembang kurikulum dengan jenjang yang berbeda, yakni untuk tingkat sd, smp dan sma/smk."
Posting Komentar untuk "Contoh Sk Tim Pengembang Sarpras : Contoh Format Sk Tim Penyusun Dan Pengembang Kurikulum Ms Word : Untuk kali ini, kami akan membagikan secara langsung 3 model sk tim pengembang kurikulum dengan jenjang yang berbeda, yakni untuk tingkat sd, smp dan sma/smk."